The Central Government has notified the Health Security se National Security Cess (First Amendment) Rules, 2026, effective from 1 February 2026, amending the rules issued earlier in January 2026. The amendment clarifies the method for determining the maximum rated speed of pouch, tin, or container packing machines by prescribing a precise formula based on RPM, gear ratio, and number of cups or funnels, ensuring uniform classification for cess purposes. It revises Illustration 2 to clearly explain the computation of cess abatement where machines remain sealed and non-operational for more than fifteen days, including timelines for filing claims and adjustment of abatements. A new Rule 35 is inserted to prescribe how the cess is to be credited to the Consolidated Fund of India, transferred quarterly to a dedicated cess fund, and utilised for public health and national security objectives with parliamentary oversight and CAG audit. The notification also makes extensive technical corrections to statutory forms to align terminology and calculations with the revised framework.
MINISTRY OF FINANCE
(Department of Revenue)
Notification No. 02/2026 – HSNS Cess | Dated: 30th January, 2026
G.S.R. 78(E).— In exercise of the powers conferred by section 35 of the Health Security se National Security Cess Act, 2025 (35 of 2025), the Central Government hereby makes the following rules further to amend the Health Security se National Security Cess Rules, 2026.
1. (1) These rules may be called the Health Security se National Security Cess (First Amendment) Rules, 2026.
(2) They shall come into force on the 1st day of February, 2026.
2. In the Health Security se National Security Cess Rules, 2026,-
(a) in rule 12, in sub-rule (2), the following shall be inserted, namely: —
‘Explanation.- For the purposes of this rule, “maximum rated speed” of the machine shall be calculated using the following formula, namely:-

Where:
S = Maximum rated speed of the machine in terms of number of pouches or tins or containers per minute
R = Revolutions per minute (RPM) rating of the main disc rotary motor of the machine that fills the pouches or tins or containers
G = Overall gear ratio of the gear assembly between the main disc rotary motor and the rotating drum of the machine
n = Number of funnels in a horizontal machine or number of cups in a vertical machine.’;
(b) in rule 16, for Illustration 2, the following Illustration shall be substituted, namely: —
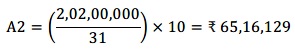
“Illustration 2: A registered person is engaged in the manufacture of specified goods using a high-speed pouch packing machine with a packing speed of 700 pouches of 2.5 grams per minute. The monthly cess liability for such a machine under Sl. No. 2 of Schedule II of the Act is ₹ 2,02,00,000. The machine is sealed on the 20th day of July and is desealed on the 11th day of August. The total period of continuous non-operation is 22 days (exceeding fifteen days). The application for claiming abatement may be filed by the registered person by 20th September (the month succeeding the month in which the machines were inoperative and sealed).
The amount of abatement of cess shall be calculated as follows: —
(i) Particulars of non-operation for July:
Total number of days in the month (July) (N): 31
Number of continuous days in the month the machine was inoperative (D): 12
Amount of cess paid for the month for the machine (C): ₹ 2,02,00,000
(ii) Computation of Abatement Amount for July(A1):

(iii) Particulars of non-operation for August:
Total number of days in the month (August) (N): 31
Number of continuous days in the month the machine was inoperative (D): 10
Amount of cess paid for the month for the machine (C): ₹ 2,02,00,000
(iv) Computation of Abatement Amount for August(A2):

(v) Adjustment: The amount of ₹ 1,43,35,484 (A1+A2) shall be allowed as an abatement by the proper officer in the order issued in say, October. The same shall be adjusted against the cess liability for November by the registered person.”
(c) after rule 34, the following rule shall be inserted, namely:–
“35. Utilisation of cess.- (1) The cess, including any interest or penalty, shall be credited to the Consolidated Fund of India and be utilised for the purpose as provided in section 7 of the Act after due appropriation authorised by the Parliament.
(2) The cess, credited to the Consolidated Fund of India under sub-rule (1), shall be transferred to a fund to be called the Health Security se National Security Cess Fund after obtaining appropriation from the Parliament.
(3) The transfer of the cess to the said Fund shall be carried out quarterly, by the Department of Revenue, Ministry of Finance.
(4) The activities, schemes and programmes to be financed from the said Fund shall encompass those related to public health and national security of India.
(5) The identification of the activities, schemes and programmes and the inter-se allocations of the cess, including any interest or penalty, for the said designated purposes shall be decided by the Budget Division, Department of Economic Affairs in consultation with Department of Expenditure, Ministry of Finance.
(6) The transfer of the amount to the said Fund, the debit of the Fund, and the maintenance of the ledger of the Fund shall be as per the accounting procedure formulated by the Office of the Principal Chief Controller of Accounts, Central Board of Indirect Taxes and Customs, and as approved by the Comptroller and Accountant General of India.
(7) The accounts of the Fund maintained by the Central Government shall be subject to audit by the Comptroller and Auditor General of India.”;
(d) in FORM HSNS DEC-01,-
(i) in paragraph 4, in Table A and Table B,-
(I) in the column heading of column (7), for the word “tracks”, the word “cups” shall be substituted;
(II) in the column heading of column (13), for the word “track”, the word “cup” shall be substituted;
(III) in the column heading of column 13, after the word “minute”, the following shall be inserted, namely:-
“[9/8]”;
(ii) in paragraph 5,-
(I) in the heading, for the word and figure “table 4”, the words and figure “at serial number 4”
shall be substituted;
(II) in the Table,-
(A) in the column heading of column (2), for the words and figure “Table III or Table IV”, the words and letter “Table A or Table B” shall be substituted;
(B) in the column heading of column (4), for the word “tracks”, the word “cups” shall be substituted;
(C) in the column heading of column (10), for the word “track”, the word “cup” shall be substituted;
(D) in the column heading of column (10), after the word “minute”, the following shall be inserted, namely;-
“[7/6]”;
(e) in FORM HSNS CE-01,-
(i) in paragraph 2, in the Table,-
(I) in the column heading of column (6), for the word “Tracks”, the word “cups” shall be substituted;
(II) in the column heading of column (12), for the word “Track”, the words “cup or funnel” shall be substituted;
(III) in the column heading of column (12), after the word “minute”, the following shall be inserted, namely:-
“[8/7]”;
(IV) in the heading of column 13, after the word “minute”, the following shall be inserted, namely:-“[6 X 12] or [9 X 12]”;
(ii) in paragraph 3, in sub-paragraph 2,-
(I) for the word and figures “Column 10”, the word and figures “Column 13” shall be substituted;
(II) for the word and figure “Column 8”, the word and figures “Column 11” shall be substituted;
(iii) in the Instructions for the Chartered Engineer for serial number 2, the following shall be substituted, namely:-
“2. Column 13 (Total packing capacity): This is the maximum rated speed. It should be calculated as: (Packing Capacity of each cup or funnel) × (Number of cups or funnels). This figure determines the Cess slab in Schedule II of the Act. ”
(f) in FORM HSNS RET-01, in the instructions for filing FORM HSNS RET- 01, in serial number 1, in the example, for the figure “ 5”, the figure “ 4” shall be substituted;
(g) in FORM HSNS APL 02, in the heading, for the word and figures “section 61”, the word and figures “section 30” shall be substituted.
[F. No.S-25014/2/2025-DS(ST)-DOR(Pt.5)]
VIKASH KUMAR, Dy. Secy.
Note: The principal rules were published in the Gazette of India, Extraordinary, Part II, Section 3, Sub-section (i), vide notification No. 01/2026-HSNS Cess, dated the 1st January, 2026, vide number G.S.R. 2(E), dated the 1st January, 2026.
Uploaded by Dte. of Printing at Government of India Press, Ring Road, Mayapuri, New Delhi-110064
and Published by the Controller of Publications, Delhi-110054.

