Case Law Details
Case Name : Polavarapu Basaveswara Rao Vs ITO (ITAT Hyderabad)
Related Assessment Year : 2017-18
Courts :
All ITAT ITAT Hyderabad
Become a Premium member to Download.
If you are already a Premium member, Login here to access.
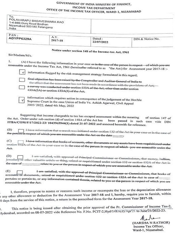
Polavarapu Basaveswara Rao Vs ITO (ITAT Hyderabad)
Reopening Invalid for Want of Proper Approval – ITAT Quashes U/s 148 Notice
The Hyderabad ITAT quashed the reassessment proceedings holding that approval from the correct authority under Section 151 is a jurisdictional requirement, and non-compliance renders the notice void.
The notice under Section 148 was issued after 3 years from the end of the assessment year, but the Assessing Officer obtained approval only from the Principal Commissioner, whereas the law mandates sanction from higher authority (PCIT/CCIT/DGIT level) under Section 151(i...
This is premium content. Please become a Premium member. If you are already a member, login here to access the full content.
Kindly Refer to
Privacy Policy &
Complete Terms of Use and Disclaimer.


